最近,72886必赢欢迎光临刘曦研究员课题组博士生赵旭炜与中国科学院地球化学研究所 Joshua M.R. Muir研究员、美国密歇根州立大学吕明达博士、中国科学院地质与地球物理研究所张志刚研究员等合作,通过第一性原理计算,研究了地幔过渡带条件下含缺陷正、反林伍德石的稳定性问题,发现含缺陷正-反林伍德石的相变过程可以合理解释地幔560 km地震波不连续面。相关论文已在线发表于国际知名SCI期刊《Geoscience Frontiers》。
地震波是研究地球内部结构的重要手段,地球内部地震波不连续面是地球内部圈层划分的关键依据。根据莫霍面(5-80 km)与古登堡面(2900 km)两个地震波不连续面,地球可分为地壳、地幔、地核三个主要圈层(图1左)。根据~410、520及660 km地震波不连续面,体积占比最大的地幔(约82%)可进一步分为上地幔、地幔过渡带上部、地幔过渡带下部、下地幔四个部分,分别对应橄榄石、瓦兹利石、林伍德石及布里奇曼石的稳定区域(图1中)。最近研究表明,部分地区的~520 km地震波不连续面可分裂成~520 km及560 km两个(图1右),并认为560 km地震波不连续面的起源可能与毛钙硅石从超硅石榴石中出溶有关(Tian et al., 2020)。

图1 (左图)地球圈层结构与地震波波速变化;(中图)地幔过渡带附近矿物成分及波速变化;(右图)地球部分区域的地幔过渡带附近不连续面深度
处于520-660 km深度的地幔过渡带下部主要由林伍德石(~56%)及超硅石榴石(~36-44%)组成。毛钙硅石含量较少,其比率由560 km左右的0%缓慢增长至660 km左右的~5%(图1中)。由于量少,且连续从超硅石榴石出溶,毛钙硅石的存在很难解释尖锐的地震波不连续面。相对应地,林伍德石占比最大,并具有离子可互换位置的尖晶石型结构,它更可能与560 km地震波不连续面的成因有关。然而,传统观点认为,林伍德石为正尖晶石型结构(所有Mg (Fe)离子占据八面体位置、所有Si离子占据四面体位置),其离子互换位置的几率接近零,林伍德石可能与560 km地震波不连续面无关。但近年来,72886必赢欢迎光临刘曦研究员课题组的研究表明(Liu et al., 2018;Liu et al., 2020),林伍德石中的离子可互换位置,这为揭示560 km地震波不连续面的成因注入了新的思路。
林伍德石中四面体和八面体的大小相差较大,其离子占位状态可以在实验淬火过程中迅速改变,因此,通过实验研究林伍德石的有序-无序状态非常困难。赵旭炜的研究采用了第一性原理计算的方法,然而这也同样困难。
理论计算的关键是构建结构模型。纯林伍德石(Mg2SiO4)的一个晶胞含有16个Mg和8个Si,当n对Mg和Si发生交换时,其理论上的结构数量为
(如n = 6时,结构数量为224224个)。构建、优化、模拟这么多结构显然是不容易的,但想要得到能量最低、最具有代表性的结构,这又似乎不可避免。幸运的是,并不是所有这些结构都是独立的。利用SUPERCELL软件,赵旭炜对所有结构进行筛选,并将重复结构进行合并,最终得到了800余个独立结构。通过精确模拟所有这些独立结构,他进而确定了林伍德石不同有序-无序状态下的能量最低结构(图2)。

图2 纯林伍德石在不同无序状态下的能量
针对不含缺陷林伍德石的计算结果表明,林伍德石的能量随着离子位置交换的发生先增大后减小,正林伍德石和反林伍德石(一半Mg (Fe)离子占据四面体位置、另一半Mg (Fe) 和Si离子占据八面体位置)的能量较低,而其它无序状态的林伍德石的能量较高。另外,林伍德石中离子位置交换是一个熵增加过程,熵的变化也会对正-反林伍德石的相变产生影响。综合考虑这些因素,赵旭炜发现,不含缺陷反林伍德石的稳定温度非常高:在地幔过渡带压力条件下,超过~2400 K。由于地幔过渡带温度约为2000 K,不含缺陷反林伍德石因此很难在地幔过渡带稳定存在(图3)。

图3 纯林伍德石及含缺陷林伍德石的相图
一个一直被忽略的事实是林伍德石中广泛存在有各种类型的缺陷(如H缺陷、Fe-Mg类质同象、其它杂质离子)。根据缺陷理论,缺陷的存在可以显著改变体系的构型熵,进而有可能对正-反林伍德石的相变温度产生重要影响。赵旭炜参考天然反林伍德石的成分(Mg1.75Si1.125O4),构建了含缺陷林伍德石的初始结构模型(近300种结构),又从中仔细筛选出21种独立结构(3种正林伍德石、18种反林伍德石结构)进行后续计算。计算结果显示:含缺陷正、反林伍德石间焓差的变化较小,但熵差显著增大,使得正-反林伍德石的转变温度降低至约1900 K,低于正常地幔过渡带温度(图3)。因此,在富硅贫镁条件下,含缺陷的反林伍德石可以在地幔过渡带稳定存在。

图4 20 GPa下其它类型缺陷浓度与构型熵(a)及转变温度(b)的关系
理论上,任意类型的缺陷都可以增大构型熵,降低正-反林伍德石的转变温度。在假设焓差不变的条件下,缺陷的引入可以导致正-反林伍德石的转变温度低至约1400 K(y = 0.5;图4)。因此,含缺陷反林伍德石在地幔过渡带中有可能普遍存在。
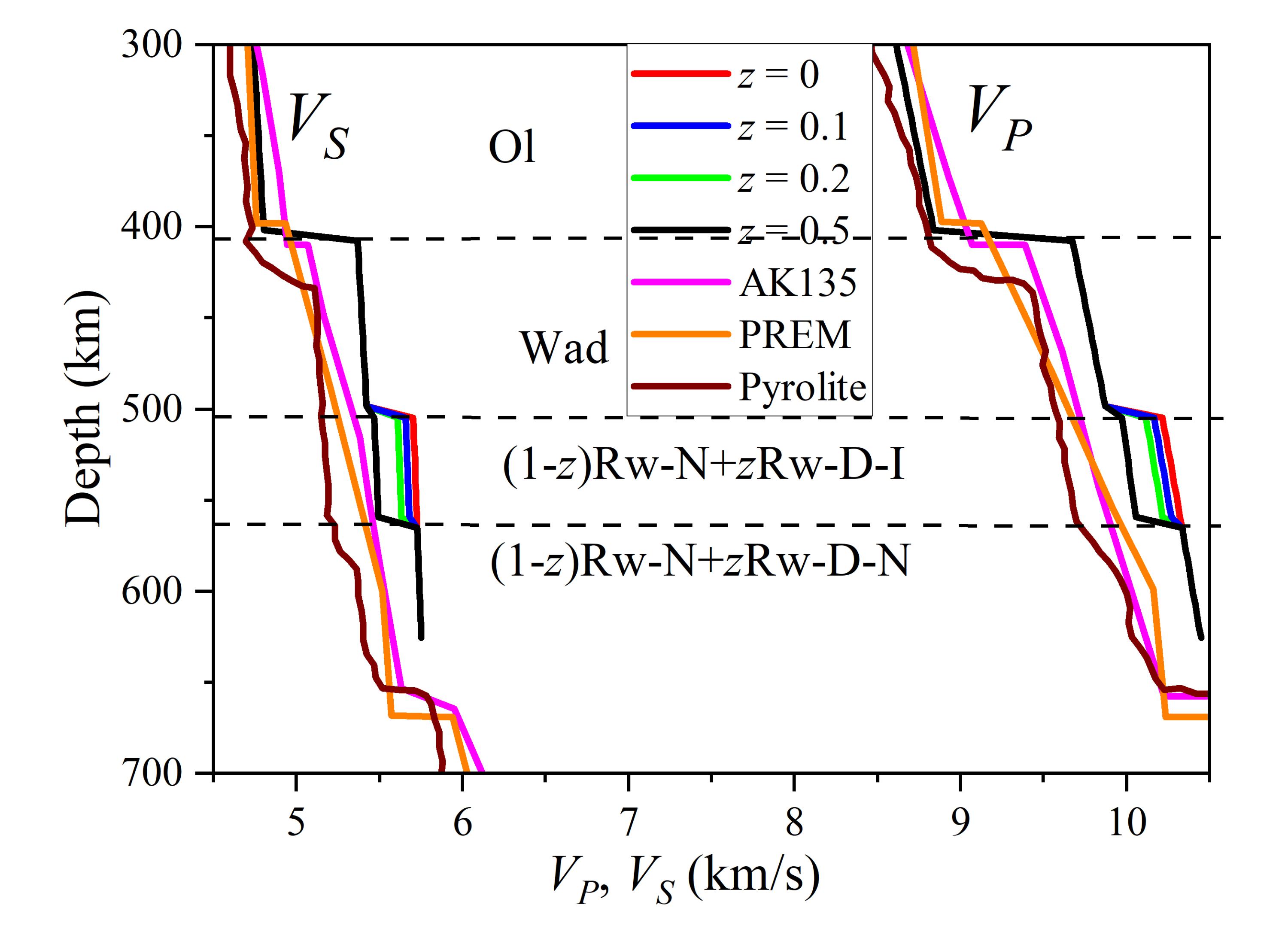
为探讨正-反林伍德石相变对地幔波速结构的影响,赵旭炜对含缺陷及不含缺陷的正、反林伍德石的弹性性质进行了计算,发现:正、反林伍德石的波速差异主要受正、反林伍德石结构差异的控制,与缺陷种类及其浓度关系不明显(图5);在20 GPa下,正、反林伍德石的P波和S波差异分别约为6%和11%,这种差异的存在足以导致可观测的地震波不连续面;当存在缺陷时,地幔橄榄石的高压相变序列变为橄榄石-瓦兹利石-反林伍德石-正林伍德石,相变深度分别对应410 km、520 km和560 km地震波不连续面(图6)。

图5 正、反林伍德石的波速变化

图6 不同反林伍德石含量下的地震波速模型
毫无疑问,地幔橄榄石及其高压相都含有丰富的缺陷。赵旭炜敏锐地抓住了缺陷这一关键信息,通过系统的理论计算工作,证明了含缺陷反林伍德石可以在地幔过渡带稳定存在,含缺陷正-反林伍德石之间的相变可以合理解释560 km地震波不连续面。这一研究成果对查明地球内部结构变化、建立地幔矿物学模型,具有重要的科学意义。同时,这一研究成果也可以为查清类地行星的内部结构与演化,给出重要启示。
本研究受中国科学院战略性先导科技专项(B类)(No. XDB42000000)和国家自然科学基金(No. 42373034)的资助。研究过程中,中国科学院院士徐义刚研究员、中国科学院海洋研究所孙卫东研究员等科学家多次给出有启示意义的建议,中国科学院广州地球化学研究所Takahashi Eiichi研究员团队利用高压实验方法做出一系列有益的尝试。
论文信息:
https://doi.org/10.1016/j.gsf.2024.101896
参考文献:
Liu, L., Liu, X., Bao, X., He, Q., Yan, W., Ma, Y., He, M., Tao, R., Zou, R. 2018. Si-disordering in MgAl2O4-spinel under high P-T conditions, with implications for Si-Mg disorder in Mg2SiO4-ringwoodite. Minerals, 8, 210. https://doi.org/10.3390/min8050210.
Liu, X., Sui, Z., Fei, H., Yan, W., Ma, Y., Ye, Y., 2020. IR features of hydrous Mg2SiO4-ringwoodite, unannealed and annealed at 200-600 °C and 1 atm, with implications to hydrogen defects and water-coupled cation disorder. Minerals, 10, 499. https://doi.org/10.3390/min10060499.
Tian, D., Lv, M., Wei, S.S., Dorfman, S.M., Shearer, P.M., 2020. Global variations of Earth’s 520- and 560-km discontinuities. Earth and Planetary Science Letters, 552, 116600. https://doi.org/10.1016/j.epsl.2020.116600.